Um termo maior numa soma binomial finita

Determine o termo de maior valor do desenvolvimento  do Binômio de Newton (1 + 1/2)1000 .

Solução:
Já sabemos que a fórmula do termo geral de um Binômio de Newton da forma (a + b)n   é:


Analogamente poderemos escrever:

Dividindo membro a membro as igualdades acima, desenvolvendo e simplificando, chegaremos à expressão abaixo:



Nota: recomendamos ao leitor fazer esta verificação; será um excelente exercício.

Lembretes necessários:


O número acima é conhecido como Número Binomial ou Número Combinatório.

n! = 1.2.3.4.5.6. ... (n-1).n     (n! = fatorial de n)

S�o v�lidas as seguintes propriedades, por exemplo:

(p – 1)! = p! / p  onde p � um n�mero natural maior ou igual a 1.

(k + 1)! = k! . (k+1) onde k � um n�mero natural. 

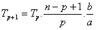
A fórmula obtida após as simplificações, como j� vimos,  é:



Observe que Tp  é o termo imediatamente anterior a Tp+1 .

Ora, para que o termo Tp+1 seja maior do que o termo Tp , é óbvio que deveremos ter:

Então, para determinar o termo de maior valor do desenvolvimento do binômio
(1 + 1/2)1000 basta determinar o maior valor inteiro possível para p , que satisfaça à desigualdade acima.

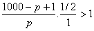
 Voltando ao binômio do problema  (1 + 1/2)1000 , temos:

a = 1,  b = 1/2    e  n = 1000; substituindo na desigualdade acima, teremos:


Simplificando, fica:

Como p é um número inteiro positivo, 2p também será positivo e, para que a desigualdade acima seja verdadeira, deveremos ter  1001 – 3p > 0 .
Daí vem: 1001 – 3p > 0 , ou seja, 1001 > 3p 
logo, 3p < 1001  o que nos leva a p < 1001/3

Então  p < 333,6  e, como p é inteiro, vem finalmente p = 333.

Como o valor máximo possível para  p  é 333, teremos que Tp+1 será o termo T334 , e este é o maior termo do desenvolvimento do binômio (1 + 1 /2)1000 .

Portanto, o maior termo do desenvolvimento do binômio proposto será o de ordem 334, ou seja, o 334º termo.

Para determinar qual é este termo, basta usar a fórmula do termo geral do binômio de Newton vista acima, ou seja:

É claro que esta questão é um desafio, e portanto requer que o estudante esteja familiarizado com as técnicas de cálculo dos números binomiais e dos fatoriais. Caso contrário, o exercício tornar-se-á deveras penoso!

Agora resolva este:

Qual o maior termo no desenvolvimento de (1 + 1/4)10 ?
Resposta:   o maior termo é o terceiro e é igual a  45/16.

Paulo Marques - Feira de Santana - BA - 02 de novembro de 2002, revisado em 10/11/2006.

CONTINUAR

VOLTAR