Binômio de Newton Primeiro

 
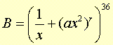
Considere o binômio



Sabendo-se que o termo independente de x é o quinto termo, pede-se determinar o valor de r  e o termo independente de x.

Solução:

Podemos escrever:



Já sabemos que a fórmula do termo geral do desenvolvimento do binômio  (w + b)n  é dada por:




Onde temos o número binomial



e o fatorial  n! = 1.2.3.4.5. ... .n

Substituindo os valores de w = 1/x  ,  b = ar.x2r e n = 36, fica:



Para que o termo seja independente de x, o expoente de x deve ser nulo. Logo, deveremos ter 

8r – 32 = 0, de onde tiramos  r  = 4.

O quinto termo T5 será então igual a:


Observe que x8.4-32 = x32-32 = x0 = 1.

Portanto, r = 4 e o termo independente de x é igual a 58905 a16.

Paulo Marques - Feira de Santana - BA - 08 de dezembro de 2002.

CONTINUAR

VOLTAR