Distribuição binomial de probabilidades

Considere um certo experimento aleatório que é repetido n vezes nas mesmas condições. Seja U o espaço amostral desse experimento e A um evento desse espaço amostral.
Seja A’ o evento complementar do evento A.
Já sabemos que:
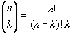
1) p(A) = n(A) / n(U) [fórmula fundamental das probabilidades]
2) p(A) + p(A’) = 1 Þ p(A’) = 1 – p(A)

Para simplificar o desenvolvimento que faremos a seguir, vamos introduzir a seguinte notação:
Probabilidade de ocorrer o evento A = p(A) = p
Probabilidade de ocorrer o evento complementar A’ = p(A’) = q
Podemos escrever: p + q = 1 \ q = 1 – p
Não é difícil demonstrar que:

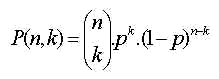
Se o experimento for repetido n vezes nas mesmas condições, então, a probabilidade do evento A ocorrer exatamente k vezes será dada pela fórmula:

Onde:
P(n,k) = probabilidade de ocorrer exatamente k vezes o evento A após n repetições.

Exemplo:

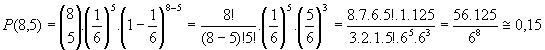
Lança-se um dado 8 vezes. Qual a probabilidade de sair exatamente 5 números iguais a 3?

Solução:

Sejam os eventos:
Evento A: sair o número 3
Evento complementar de A = A’: não sair o número 3
Teremos:
p(A) = 1/6 = p
p(A’) = 1 – 1/6 = 5/6
Portanto, a probabilidade procurada será dada por:

Resposta: a probabilidade de sair o número 3 exatamente 5 vezes no lançamento de um dado 8 vezes, é aproximadamente igual a 0,15 ou 15%.

Agora resolva este:

Uma moeda é lançada dez vezes consecutivas. Calcule a probabilidade de sair exatamente duas caras.
Resposta: aproximadamente 4,39% (ou 45/1024).

Paulo Marques - Feira de Santana – BA – arquivo revisado em 02/01/2001.

CONTINUAR

VOLTAR