Calculando com Fatoriais
Calcule o valor de m na expressão abaixo :

Solução:
Vamos
desenvolver separadamente o numerador (2m)! :
Teremos:
(2m)! =
1.2.3.4.5. ... . (2m -1).2m
Observe que a igualdade acima pode ser
escrita como:
(2m)! = [1.3.5. ... .(2m -1)].[2.4.6. ... .
(2m)]
Mas, 2.4.6. ... . 2m = 2.(1).2.(2).2.(3).2.(4). ... .2.(m) =
2m(1.2.3.4. ... .m) = 2m.m!
Substituindo,
vem:
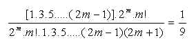
(2m)! = [1.3.5. ... (2m -1)].2m . m!
Substituindo o valor de (2m)! acima, na equação dada, vem:

Simplificando os
termos iguais, vem finalmente
1/(2m + 1) = 1/9 de onde tiramos: 2m + 1 = 9 e,
finalmente, concluímos: m = 4.
Resposta:
m = 4.
Nota: esta questão compareceu num vestibular da
Escola de Eng. de Itajubá MG.
Paulo Marques, Feira de Santana BA, 18 de junho de 2000. Editado em 08/03/2010.